학습 데이터 각각에 정답(주택가격)이 주어져 있으므로 지도학습(Supervised Learning)이며,
주택 가격을 연속된 값으로 예측하는 것이므로 회귀(Regression) 문제이다.
선형회귀 (Linear Regression) 문제의 정의
: 입력 변수(특징) x가 하나인 경우, 선형회귀 문제는 주어진 학습데이터와 가장 잘 맞는 Hypothesis함수 h를 찾는 문제가 된다.
a = np.ploy1d[[1, 1])
b = np.ploy1d[[1, -1]
ploy1d[[1, 1]) = x + 1 / ploy1d[[1, -1]) = x -1을 의미한다.
고로 a * b = (x+1)(x-1) = x^2 -1인데,
이는 poly1d([1, 0, -1])로 출력된다. x^이 1, x항이 없으니 0, 상수항은 -1로 나타내는 것이다.
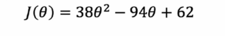
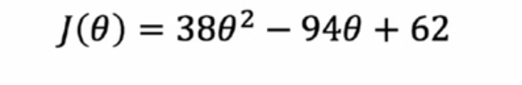
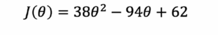
np.poly1d([2, -1])**2 + np.poly1d([3, -5])**2 + np.poly1d([5, -6])**2
=> poly1d([ 38, -94, 62])


Numpy의 polyfit과 poly1d의 사용법 - 최소제곱법과 polynomial class
제가 아주 예전에 공업수학 연재를 하면서 최소제곱법을 소개했던 적이 있습니다. 에러의 제곱의 합을 최소화하는 공업수학적 방법인데 아주 유용합니다. 그리고, 이를 이용한 Python의 Numpy 함수
pinkwink.kr
'Machine Learning' 카테고리의 다른 글
| [ML] Ensemble _HAR data _ DecisionTree / RandomForest (0) | 2023.01.09 |
|---|---|
| [ML] Cost Function_ Boston 집값 예측 (0) | 2023.01.07 |
| [ML] ROC Curve (0) | 2023.01.06 |
| [ML] Hyperparameter Tuning (0) | 2023.01.06 |
| [ML] Hyperparameter Tuning_ 교차검증 (0) | 2023.01.05 |